Productos
Nuestros productos cubren múltiples áreas clave como productos químicos finos, productos químicos básicos y productos químicos especializados, y se utilizan ampliamente en industrias clave como recubrimientos, materiales de construcción, productos farmacéuticos, energía nueva y materiales nuevos.
¿Todavía tiene preguntas?
Información de contacto
descripción del producto
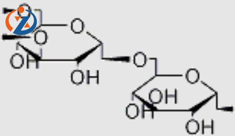
Dextrano CAS #9004-54-0
El dextrano, un polímero de glucosa compuesto predominantemente por enlaces ol-1,6-glucopiranosídicos, se produce a partir de sacarosa por Leuconostoc mesenteroides y organismos relacionados, y a partir de dextrinas por otras bacterias.
El dextrano se utiliza en forma de perlas para ayudar en aplicaciones de biorreactores, algunas matrices de cromatografía de exclusión por tamaño y en estudios de técnica de estrés osmótico involucrados en moléculas biológicas. Puede usarse como un recubrimiento estabilizador para proteger las nanopartículas metálicas de la oxidación.
Los dextranos son polisacáridos de glucosa de cadena larga con varias masas moleculares relativas. El dextrano 70 (masa molecular relativa 70 000) se retiene en el espacio intravascular donde, como la albúmina, contribuye a la presión oncótica coloidal del plasma. A diferencia de la albúmina, el dextrano 70, cuando se administra en grandes cantidades, previene la agregación plaquetaria y facilita la fibrinólisis.

Uso del producto
El ácido kójico (CAS # 501-30-4) tiene una amplia gama de aplicaciones. En el campo de la cosmética, al inhibir la actividad de la tirosinasa y sus propiedades antioxidantes, se utiliza en cremas blanqueadoras y otros productos para aclarar y eliminar pecas, y también se añade a productos de protección solar para mejorar la protección solar; En el campo alimentario, el uso de efectos antibacterianos y antioxidantes no solo puede mantener fresca la carne de frutas y verduras, sino también proteger el color en alimentos procesados como el jugo; En el campo de la medicina, puede tratar enfermedades cutáneas pigmentarias como el melasma, y también puede ser antibacteriano y antiinflamatorio en medicamentos tópicos; Además, puede usarse como regulador del crecimiento vegetal en la agricultura y como antioxidante y agente quelante de iones metálicos en la producción industrial.
Exhibición de la fábrica
Tiempo de transporte rápido
Inventario 2-3 días laborables Fabricación nueva 7-10 días laborables
Preguntas frecuentes
P:¿Qué tal su precio?
R:Nuestro precio es muy competitivo porque somos una fábrica. No dude en contactarnos si está interesado en nuestros productos.
P:¿Puedo visitar su fábrica?
R:Por supuesto, damos la bienvenida a clientes de todo el mundo para visitar nuestra fábrica.
P:¿Qué información del producto necesito proporcionar?
R:Necesita proporcionar el grado, ancho, grosor, recubrimiento y la cantidad de toneladas que necesita comprar.
P:¿Qué tal el tiempo de entrega?
R:Dentro de 3-15 días después de confirmar su requerimiento.
P:¿Cuáles son sus términos de pago?
R:T/T, L/C a la vista, efectivo, Western Union son todos aceptados. Si tiene otra forma de pago, por favor contácteme.
P: ¿Proporcionan muestras?
R:Sí, podemos ofrecerle la muestra para que la pruebe, pero por favor pague el flete.
Contáctenos
Productos Relacionados